为了拓宽大学生的科学视野,培养大学生的创新意识及合作精神,提高大学生的创新设计能力、综合科技能力和工程实践能力,营造校园科技创造氛围,建设工程学部、创新创业学院将联合举办第十六届大连理工大学大学生结构设计竞赛。
参赛通知如下:
一、作品提交
1. 时间:2017年5月9号晚上18:30至21:00
2. 地点:综合实验三号楼五楼多功能厅
3. 流程:递交作品,进行现场承重;按顺序拿到号码牌,放置好作品;离场按顺序递交理论方案。
注:由于要保证参赛作品结构完整性,工作人员将全程不接触选手作品,请参赛选手保护好自己作品。
4.理论方案要求
(1)理论方案的内容应包括:设计说明书、方案图和计算书。设计说明书应包括对方案的构思、造型和结构体系及其他有特色方面的说明;方案图应包括结构整体布置图、主要构件详图、结点详图和方案效果图;计算书应包括结构选型、计算简图、荷载分析、内力分析、承载能力估算等。
(2)理论方案封面必须注明作品名称、参赛学校、参赛队员姓名和专业、指导老师;正文按设计说明书、方案图和计算书的顺序编排。除封面外,其余页面均不得出现任何有关参赛学校名称和个人姓名的信息,否则取消参赛资格。
(3)理论方案要求用A4纸打印,字体为小四字体,1.5 倍行距。
5.设计制作要求
(1)模型制作材料
模型制作材料为组委会统一提供的230克巴西白卡纸、铅发丝线(鞋底)和白胶。不得使用组委会指定以外的其它任何材料,否则将直接取消其参赛资格,并通报。
(2)模型制作要求
①模型总高度应为1000mm,允许误差为10mm;
②模型在高度为400mm 和700mm 处应分别有一个加载平台,允许误差为5mm;
二、作品加载
1.比赛时间:2017年5月10日下午13:30进场;14:00开始开幕式;14:20开始模型加载。
2.比赛地点:综合实验三号楼五楼多功能厅
3.评分规则
总分为100分,包括结构造型与体系、理论分析、模型制作、叙述答辩和加载试验5个方面。
1)结构造型与体系(10分)
按模型结构的构思、造型和结构体系的合理性和创新性评分。
2)理论分析(5分)
按设计说明书、方案图和计算书内容的完整性、准确性和规范性评分。
3)模型制作(10分)
按模型制作工艺情况评分。
以上3项均在加载前评毕。模型尺寸及材料使用不符合设计制作要求的,或参赛过程中有其他违规现象的将直接淘汰,不进入加载试验阶段。
4)叙述答辩(5分)
按现场叙述和答辩情况,由评委当场给分。
5)加载试验(70分)
完成加载试验的模型,按以下方法计分:
(1)荷质比为模型最大承载重量(下层钢板上承受的最大竖直荷载)m1(kg),与模型本身重量 m2(kg)之比:荷质比
。(结果四舍五入,只取到小数点后两位)
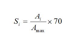
(2)荷质比最大的模型加载性能分为 70 分,记其荷质比为
,其他模型载重分计算公式如下:


式中
为所有模型中荷质比最大值,
为其他模型各自的荷质比;
为模型加载性能得分。
4.加载试验程序及操作步骤
(1)由参赛队员首先自行将模型安置在试验装置上。先安装模型顶部的扭转装置,接着安装上层钢板和砝码盘装置,最后安装下层钢板和砝码盘装置;各装置的安装需与要求的位置相同(下层钢板的两条长边垂直于加载台下边的两条长边,上层钢板的两长边与下层钢板两长边垂直,顶部扭转装置两角钢的棱角线与下层钢板两长边垂直);各装置均需对中正放;
(2)在安置模型的同时,由一名参赛队员向评委和观众介绍参赛作品,然后回答评委提问,时间控制在3分钟内。
(3)由参赛队员首先加载竖直荷载,需将所选重量(砝码)小心放在加载盘上;然后加扭转荷载。加载完毕后需稳定10秒钟。若第一级加载成功,参赛队可进行第二级加载,保持顶部扭转荷载不变,以后的每级只施加上、下层的竖直荷载。荷载上限为下层达到60kg,上层达到30kg。
比赛详细要求按照赛题说明进行,建设工程学部学生会科创部保留所有解释权。
预祝参赛选手在比赛中获得优异的成绩!
建设工程学部
2017年5月8日